logo
Digital Notes

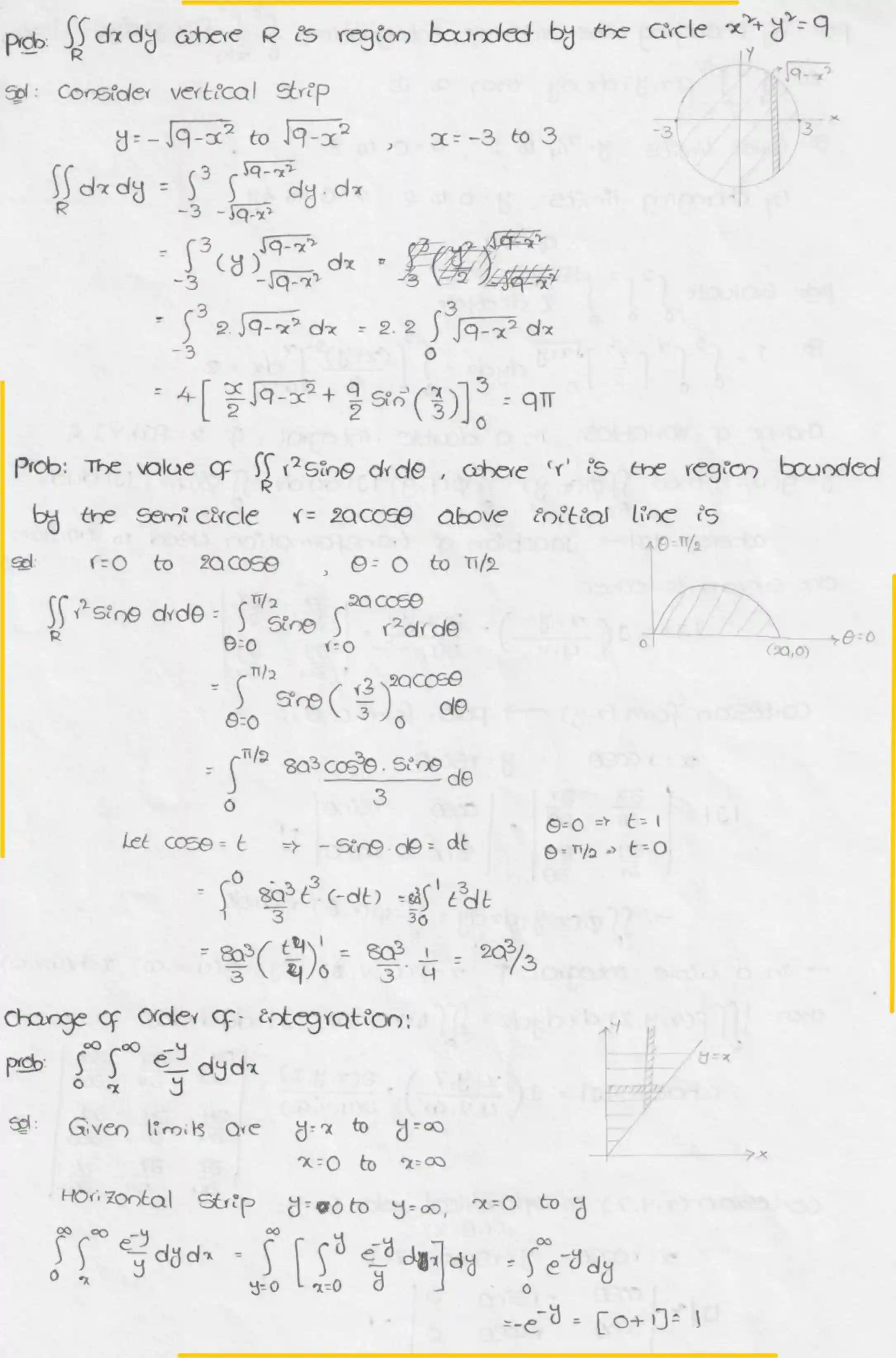
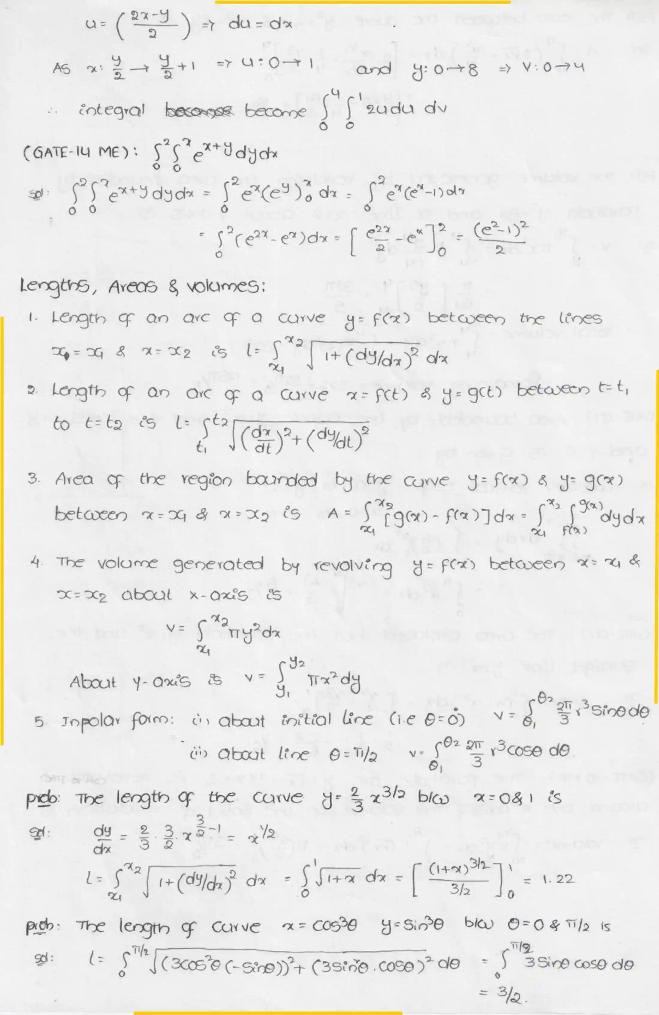
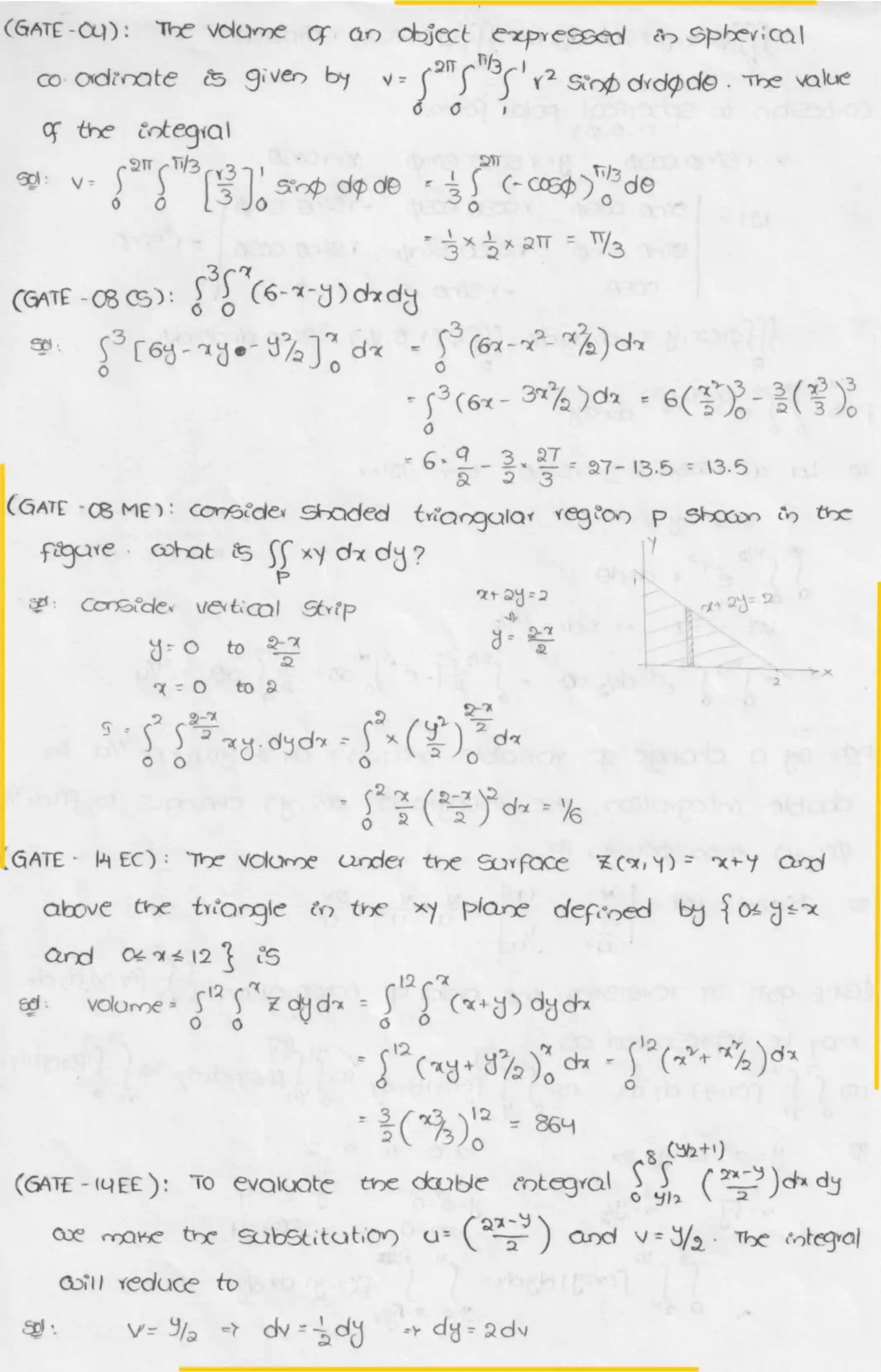
Multiple Integrals

ENGINEERING → Computers Science And Engineering → Engineering Mathematics → Maths Notes-3

Read handwritten PDF notes for Multiple Integrals. This chapter contains 8 pages of handwritten study materials.

8 Total Pages
PDF Format
100% Free Access
logo